手机版 | 登陆 | 注册 | 留言 | 设首页 | 加收藏
当前位置: 网站首页 > 发展论坛 > 养猪业篇 > 文章

重点发展区域生猪生产技术效率分析

时间:2024-05-27    点击: 次    来源:猪业科学    作者:黄镜池 - 小 + 大

摘要:发展生猪产业作为农业现代化的重要组成部分,对增强农业综合竞争力、建设农业强国有重要意义,而分析生猪主产区的生产效率可以指导全国生猪的发展。本文以7个中国生猪重点发展地区为研究对象,使用随机前沿分析和超越对数生产函数,通过面板固定效应模型考察不同要素与生猪生产能力间的关系,测算各地大、中、小、散养规模的生猪养殖生产效率,并探究影响生产效率的因素。结果表明:从产出-投入来看,劳动力投入、物质服务费用、精饲料投入数量对不同养殖规模的生猪产能影响方向存在差异;2016—2020年大规模生猪养殖生产效率在效率前沿面附近保持平稳,小规模和散养生猪养殖生产效率短暂波动后呈现上升趋势;从生产效率来看,乡镇畜牧站专业人员文化程度对生猪生产效率有显著正向影响,种猪发展水平对中小规模生产效率影响显著。基于此,建议在提升小规模养殖标准化的同时,以发展规模化场(户)为主体,增强饲料工业基础、大力推进现代化种猪业水平,以提高生猪养殖生产效率。

1、数据来源与研究方法

本文数据主要来自《全国农产品成本收益资料汇编》《中国畜牧兽医年鉴》《中国农业机械工业年鉴》《饲料工业年鉴》。根据《全国生猪生产发展规划(2016—2020年)》的相关建议,将研究时段设为2016—2020年,选择7个生猪重点发展区作为研究对象,并根据地理位置将其划入不同区域(表1)。

按生猪养殖规模的相关划分标准,将生猪年出栏量分为30头以下(农户散养)、30~100头(小规模养殖)、100~1000头(中规模养殖)、1000头以上(大规模养殖),投入产出变量的选取及描述如表2所示。

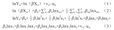
选取Translog生产函数,基于SFA对中国2016—2020年7个省份不同养殖规模的生猪生产技术效率进行测算。

其中:Yit为省份i在第t年的单位生猪净产量;xit为省份i在第t年的投入;β为待估参数向量;vit为随机误差项,包含疫情等不确定因素;uit为技术无效率项,表示生产无效的程度,且vit与uit相互独立。

上一篇:智慧化养猪发展方向及模式预测

下一篇:广东省生猪跨县集群产业园(茂名市)观察

网站地图 | 服务条款 | 联系方式 | 关于阳光
冀公网安备 13050002001403号

|

建议使用1440*900分辨率浏览 
冀ICP备14003538号  |   QQ:472413691  |  电话:0319—3163003  |